Сегодняшняя тема – задачи на вес и невесомость. Разберем несколько примеров и вопросов, которые нужно знать при решении таких задач.
Больше разнообразной и полезной информации для учащихся ежедневно ждет вас на нашем телеграм-канале.
Задачи на вес и невесомость с решениями
Задача №1. Задача на расчет веса тела, движущегося с ускорением
Условие
Груз массой 20 кг лежит на полу лифта, который движется вверх с ускорением а=4 м/с^2. Найти вес тела.
Решение

По второму закону Ньютона (в векторной форме и в проекции на ось y):

По третьему закону Ньютона:

Ответ: 280 Ньютонов
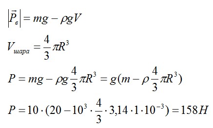
Задача №2. Задача на вычисление веса тела в жидкости
Условие
Шар радиусом 10 сантиметров имеет массу 20 килограмм. Сколько она будет весить в воде?
Решение
Вес шара в воздухе:

На тело, погруженное в жидкость, действует сила Архимеда:

Ответ: P=158 Н.
Задача №3. Нахождение веса тела при известной массе
Условие
Тело весит 400 Ньютонов. Какова его масса?
Решение

Ответ: 60 кг.
Задача №4. Вычисление веса жидкости
Условие
Какой вес имеет вода, полностью заполнившая литровую бутылку?
Решение
Зная объем воды и взяв из справочника ее плотность, вычислим массу воды:

Ответ: Р=10 Н.
Задача №5. Нахождение веса при свободном падении. Невесомость на Земле
Условие
Лифт с человеком срывается в шахте и свободно падает вниз, пока не сработает система безопасности. Чему в момент падения равен вес человека.
Решение
Лифт и человек движутся с ускорением a=g. Согласно второму и третьему законам Ньютона, вес человека в этом случае будет вычисляться по формуле:

Другими словами, человек никак не действует на опору, так она падает одновременно с ним. Типичный пример, когда вес равен нулю.
Ответ: P=0 Н.
Кстати! Для наших читателей действует скидка 10% на любой вид работы.
Вопросы на тему «вес и невесомость»
Вопрос 1. В каком случае вес тела равен силе тяжести, действующей на него?
Ответ. Вес равен силе тяжести, если тело покоится или движется равномерно и прямолинейно (с нулевым ускорением).
Вопрос 2. В каких еще случаях можно испытывать состояние невесомости?
Ответ. Состояние невесомости также достигается при свободном падении.
Вопрос 3. Вредно ли длительное воздействие невесомости на здоровье?
Ответ. Длительное пребывание в невесомости влечет адаптивные изменения в сердечно-сосудистой и опорно-двигательной системах. Поэтому, по прибытии на Землю, космонавтам необходима реабилитация.
Вопрос 4. Где вес 100-киллограммового тела будет больше: на Земле, на Марсе или на Сатурне?
Ответ. Вес тела будет больше на Сатурне, так как там сильнее гравитационное взаимодействие.
Вопрос 5. От чего зависит вес тела?
Ответ. Вес зависит от ускорения, с которым движется тело, а также от физической среды, в которой тело находится. Например, в воде вес будет меньше, так как на тело действует выталкивающая сила Архимеда, которая частично компенсирует силу тяжести.
Все мы слышали слово «перегрузка». Перегрузка – противоположность невесомости. Это значит, что вес тела увеличивается из-за ускоренного движения опоры или подвеса.
Вес и невесомость: что есть что
Понятие веса широко используется в повседневной жизни. Но, решая задачи по физике, очень важно различать вес и массу.
Вес – это сила, к которой тело действует на опору или подвес вследствие притяжения к Земле.
Обозначается латинской буквой P, как и любая механическая сила, измеряется в Ньютонах. Вес – векторная физическая величина.
Не путайте вес с массой а также с силой тяжести! Это важно при решении задач.
Невесомость – отсутствие веса, то есть состояние тела, когда сила взаимодействия с опорой или подвесом отсутствует.
Космонавты на орбите испытывают состояние невесомости. Но не следует путать невесомость с отсутствием гравитации.
Примеры проявления невесомости:
- автомобиль подскакивает на ухабе и отрывается колесами от дороги;
- самолет проваливается в воздушную яму;
- десантник свободно падает, прежде чем раскрыть парашют;
- космонавт находится в космическом корабле, который движется по орбите с выключенным двигателем.
Нужна помощь в решении задач и выполнении других заданий? Обращайтесь в профессиональный студенческий сервис.