В этой статье подробно разберем решение нескольких задач из разных разделов термодинамики.
Наш телеграм – это полезная информация для всех студентов каждый день, присоединяйтесь.
Задачи по термодинамике с решениями
Прежде чем начать, вспомним, какие задачи мы уже решали раньше:
- задачи на второе начало термодинамики;
- задачи на КПД теплового двигателя;
- задачи на работу в термодинамике;
- задачи по теме «Теплоемкость идеального газа»;
- задачи на расчет количества теплоты;
- задачи на внутреннюю энергию;
- задачи на первый закон термодинамики;
- задачи по молекулярно-кинетической теории.
Также напомним, что прежде чем начинать решать задачи, полезно ознакомиться с общей памяткой, а при решении держать под рукой полезные формулы.
Задача №1 на уравнение состояния газа
Условие
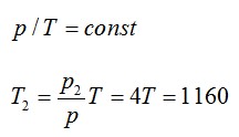
Кислород массой m=0.032кг находится в закрытом сосуде под давлением p=0,1МПа при температуре T=290К. После нагревания давление в сосуде повысилось в 4 раза. Определите: 1) объем сосуда; 2) температуру, до которой газ нагрели; 3) количество теплоты, сообщенное газу.
Решение
Запишем уравнение состояния газа и найдем объем:

При изохорном процессе:

Сообщенное газу количество теплоты:

Зная, что для двухатомного кислорода число степеней свободы молекулы i=5, вычислим:

Ответ: 1) 24 л, 2) 1160 К, 3) 578.4 Дж.
Задача №2 на цикл Карно
Условие
Идеальный газ совершает цикл Карно при температурах нагревателя 400 К и холодильника 290 К. Во сколько раз увеличится коэффициент полезного действия цикла, если температура нагревателя возрастёт до 600 К?
Решение
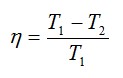
Коэффициент полезного действия цикла Карно:

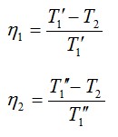
Коэффициенты полезного действия цикла Карно при разных температурах нагревателя соответственно:

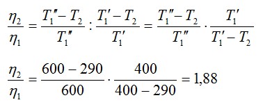
Найдём отношение коэффициентов:

Следовательно, коэффициент полезного действия цикла Карно увеличится в 1,88 раза.
Ответ: КПД увеличивается в 1,88 раза.
Задача №3 на МКТ
Условие
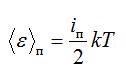
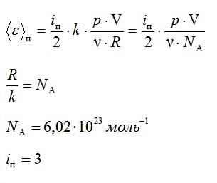
В баллоне объёмом 0,05 м3 находится 0,12 кмоля газа при давлении 0,6∙10^7 Па. Определить среднюю кинетическую энергию поступательного движения молекулы газа.
Решение
Средняя кинетическая энергия поступательного движения:

где Т – термодинамическая температура идеального газа. Из уравнения Менделеева-Клапейрона найдем температуру:

Тогда:

Подставим значения и вычислим:

Ответ: 6,23*10^-21 Дж.
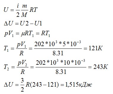
Задача №4 на внутреннюю энергию газа
Условие
Один моль одноатомного идеального газа изобарно расширяется от объема 5 литров до 10 литров при давлении в 202 кПа. Как изменилась внутренняя энергия газа в этом процессе?
Решение
Для одноатомного газа i=3. Для внутренней энергии идеального газа запишем, выражая температуру через уравнение Клапейрона-Менделеева:

Ответ: 1515 Дж
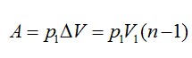
Задача №5 на изопроцессы
Условие
Кислород, занимающий при давлении р1 объем V1, расширяется в n раз. Определите конечное давление и работу, совершаемую газом. Рассмотрите следующие процессы:
- Изобарный.
- Изотермический.
- Адиабатный.
Решение
1) При изобарном процессе давление не меняется, работа газа:

2) при изотермическом процессе:

Работа газа:

3) уравнение адиабаты:

Ответ: см. выше
Вопросы по термодинамике
Вопрос 1. Сформулируйте первое начало термодинамики.
Ответ. Первое начало термодинамики гласит:
Теплота, полученная системой, идет на изменение ее внутренней энергии и на совершение системой работы против внешних сил.
В другой формулировке первое начало утверждает невозможность построения вечного двигателя первого рода.
Вопрос 2. Что такое идеальный газ?
Ответ. Идеальный газ – это математическая модель газа, в которой соударения между молекулами газа абсолютно упруги, между молекулами не действуют силы притяжения или отталкивания, потенциальной энергией взаимодействия молекул можно пренебречь.
В расширенной модели идеального газа его молекулы имеют сферическую форму
Вопрос 3. Что такое термодинамическая система?
Ответ. Термодинамическая система – это физическая система, состоящая из из большого количества частиц, способная обмениваться с окружающей средой энергией и веществом. Такую систему можно описать статистическими законами.
Вопрос 4. Сформулируйте второе начало термодинамики.
Ответ. У второго начало терможинами есть несколько формулировок. Вот одна из них:
Теплота не может самопроизвольно переходить от менее нагретого тела к более нагретому.
Вопрос 5. Что такое теплоемкость?
Ответ. Теплоемкость – физическая величина, численно равная количеству теплоты, которое необходимо передать телу, чтобы увеличить его температуру на 1 градус.
Если у вас есть вопросы по термодинамике, на которые вы ищете ответы, оставляйте их в комментариях. А если не получается решить какую-то задачу, спросите у экспертов профессионального студенческого сервиса, они обязательно помогут.