Благодаря этой силе автомобили тормозят на светофоре, катер останавливается в воде, колесо буксует в яме. Как вы уже поняли, в этой статье мы будем разбираться, как решать задачи на силу трения.
Сила трения имеет электромагнитную природу. Это значит, что эта сила проявляется в результате взаимодействия частиц, из которых состоит вещество.
Хотите больше полезной и интересной информации по разным темам? Подписывайтесь на наш телеграм-канал.
Что нужно знать о силе трения, чтобы решать задачи
Трение – один из видов взаимодействия тел, которое возникает при их соприкосновении.
Сила трения всегда направлена в сторону, противоположную движению и по касательной к соприкасающимся поверхностям. Между твердыми телами возникает сухое трение, а при движении тел в жидкостях или газах говорят о вязком трении.

Природу этой силы мы уже установили. Помимо этого нужно знать, что бывают разные виды сил трения:
- трение покоя;
- трение скольжения;
- трение качения (при перекатывании тел друг по другу);
- сопротивление среды (для движения в жидкости).
Вот пример на виды силы трения: брусок лежит на столе, и никто его на трогает. В этом случае действуют только сила тяжести и сила нормальной реакции опоры. Если мы начнем толкать брусок, но так сильно, чтобы его сдвинуть, на него будет действовать сила трения покоя, по третьему закону Ньютона равная внешней силе, приложенной к бруску. Сила трения покоя имеет предельное значение. Если внешняя сила будет больше этого значения, брусок начнет скользить по столу. В этом случае говорят о силе трения-скольжения. А вот и простейшая формула для силы трения:

«Мю» - коэффициент трения скольжения. Это безразмерная величина, которая зависит от материалов взаимодействующих тел и от качества их поверхностей. Величина коэффициента трения не превышает единицы.
При решении простых физических задач силу трения скольжения часто принимают равной максимальной силе трения покоя.
Не забывайте также про нашу памятку и подборку полезных формул.
Вопросы по теме «Сила трения»
Вопрос 1. От чего зависит сила трения?
Ответ. Взглянем на формулу выше, и ответ придет сам. Сила трения зависит от свойств соприкасающихся тел, силы нормальной реакции опоры, скорости относительного движения тел.
Вопрос 2. Зависит ли сила трения от площади соприкасающихся поверхностей?
Ответ. Нет, площадь не влияет на силу трения.
Вопрос 3. Какими способами можно уменьшить или увеличить силу трения?
Ответ. Можно уменьшить коэффициент трения, сделав сухое трения вязким. Для увеличения силы трения необходимо увеличить давление на них.
Вопрос 4. Тело покоится на плоскости. Действует ли на него сила трения?
Ответ. Если на тело не действуют внешние силы, то сила трения покоя, по третьему закону Ньютона, равна нулю.
Вопрос 5. Какая из этих сил самая большая по модулю: сила трения покоя, сила трения качения или сила трения скольжения?
Ответ. Сила трения скольжения имеет самое большое значение.
Вопрос 6. Какие есть примеры полезного действия силы трения?
Ответ. Среди полезного использования силы трения можно выделить работу тормозов транспортных средств, добычу огня первобытными людьми.
Задачи на силу трения с решениями
Кстати! Для наших читателей действует скидка 10% на любой вид работы.
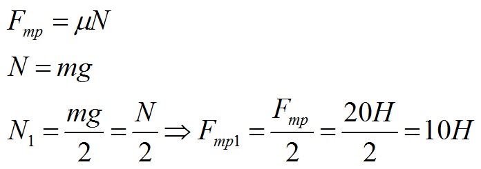
Задача №1. Нахождение силы трения
Условие
Брусок массой 5 килограмм скользит по горизонтальной поверхности. Сила трения скольжения равна 20 Н. Найдите силу трения, если масса бруска уменьшится в два раза, а коэффициент трения останется неизменным.
Решение
Применим формулы:

Ответ: 10 Н.
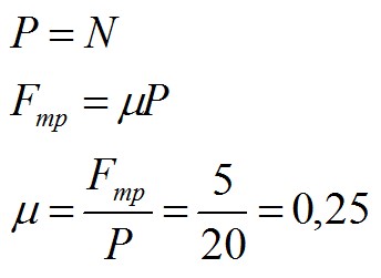
Задача №2. Нахождение коэффициента трения
Условие
Тело скользит по горизонтальной плоскости. Найти коэффициент трения, если сила трения равна 5 Н, а сила давления тела на плоскость – 20 Н.
Решение
Сила давления тела на плоскость равна силе нормальной реакции опоры.

Ответ: 0,25
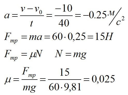
Задача №3. Нахождение силы трения и коэффициента трения
Условие
Лыжник массой 60 кг, имеющий в конце спуска скорость 10 м/с, останавливается через 40 с после окончания спуска. Определите силу трения и коэффициент трения.
Решение
Сначала найдем ускорение, с которым движется лыжник. Затем по второму закону Ньютона найдем силу, которая действует на него:

Ответ: 15 Н; 0,025.
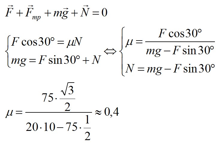
Задача №4. Нахождение силы трения
Условие
Брусок массой 20 кг равномерно перемещается по горизонтальной поверхности под действием постоянной силы, направленной под углом 30° к поверхности и равной 75 Н. Каков коэффициент трения между бруском и плоскостью?
Решение
Сначала воспользуемся вторым законом Ньютона, учитывая, что ускорение равно нулю. Затем найдем проекции силы на вертикальную и горизонтальную оси:

Ответ: 0,4
Задача №5. Нахождение силы трения покоя
Условие
Ящик массой 10 кг стоит на горизонтальном полу. Коэффициент трения между полом и ящиком равен 0,25. К ящику в горизонтальном направлении прикладывают силу 16 Н. Сдвинется ли он с места. Какова сила трения между ящиком и полом?
Решение
Вычислим максимальную силу трения покоя:

Так как приложенная сила по условию меньше, чем максимальная сила трения покоя, ящик останется стоять на месте. Сила трения между полом и ящиком, по третьему закону Ньютона, равна приложенной силе.
Ответ: 16 Н.
Нужна помощь в решении задач или других заданий? Обращайтесь за ней в профессиональный студенческий сервис.