Трепещите и радуйтесь: сегодня занимаемся решением задач по теме «Механические колебания и волны».
И конечно, подписывайтесь на наш телеграм-канал, чтобы получать полезную рассылку каждый день. Не важно, технарь вы, или гуманитарий – интересно будет всем.
Задачи по теме механические колебания и волны с решениями
Здесь мы постарались собрать несколько типовых и при этом разноплановых задач на механические колебания.
Кстати! Для наших читателей действует скидка 10% на любой вид работы.
Задача №1. Гармонические колебания
Условие
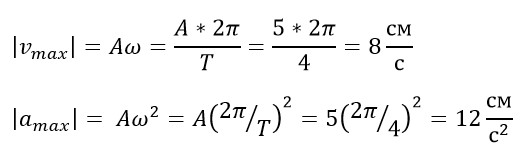
Точка совершает колебания по гармоническому закону. Амплитуда колебаний равна 5 см, а период – 4 секунды. Каковы максимальная скорость колеблющейся точки и её ускорение?
Решение
Запишем уравнение гармонических колебаний:

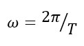
Здесь омега – циклическая частота:

Скорость и ускорение точки вычисляются по формулам механики:

Модули ускорения и скорости максимальны тогда, когда значение тригонометрической функции в выражениях равно единице:

Ответ: 8 см/с; 12 см/с^2.
Задача №2. Длина волны
Условие
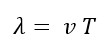
Какова длина волны основного тона ноты «ля» частотой 435 Гц? Скорость звука в воздухе принять равно 340 м/с.
Решение
Известно, период – величина, обратная частоте. А длина волны связана с периодом колебаний и скоростью их распространения соотношением:

Тогда можно записать:

Ответ: 0,78 м.
Задача №3. Затухающие колебания
Условие
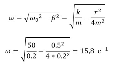
Груз массой 0,2 кг подвешен на пружине и помещен в масло. Коэффициент сопротивления r в масле равен 0,5 кг/с. Коэффициент жесткости пружины k равен 50 Н/м. Найти частоту затухающих колебаний груза.
Решение
Циклическая частота затухающих колебаний можно определяется по формуле:

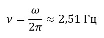
Теперь определим обычную частоту:

Ответ: 2,51 Гц.
Задача №4. Эффект Доплера
Условие
Гудок неподвижного электровоза дает сигнал с частотой 300 Гц. Какова кажущаяся частота гудка для пассажира, который в другом поезде приближается к электровозу со скоростью 40 м/с? Удаляется от него с той же скоростью?
Подробнее про эффект Доплера читайте в отдельной статье нашего блога.Решение
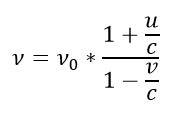
Формула, связывающая испускаемую и воспринимаемую частоты при эффекте Доплера:

Здесь с – скорость волн в среде (в нашем случае скорость звука), u – скорость приемника относительно среды, v – скорость источника относительно среды. Когда поезд приближается:

При движении от источника звука:

Ответ: 335,3 Гц; 264,7 Гц.
Задача №5. Математический маятник
Условие
Математический маятник колеблется с амплитудой А и максимальной скоростью Vm. Найти длину маятника l.
Решение
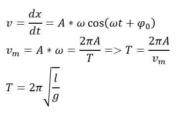
Запишем уравнение гармонических колебаний математического маятника:

Взяв первую производную, получим скорость и выразим период:

В итоге получаем:

Ответ: см. решение.
Вопросы на тему «Механические колебания и волны»
Вопрос 1. Что такое волна?
Ответ. Волна – это колебания, распространяющиеся в среде с течением времени. Волны могут иметь разную физическую природу, они бывают механические, электромагнитные и т.д.
Вопрос 2. Что такое колебание?
Ответ. Колебание – процесс изменения состояний системы, в той или иной степени повторяющийся во времени.
Принципиальное отличие волн от колебаний: при колебаниях отсутствует перенос энергии.Вопрос 3. Приведите примеры механических колебаний в повседневной жизни.
Ответ. Механические колебания:
- маятник часов;
- раскачивающиеся качели;
- вибрации гитарной струны;
- качка корабля на волнах и т.д.
Вопрос 4. Приведите примеры механических волн.
Ответ. Механические волны:
- звук;
- морские волны;
- сейсмические волны.
Вопрос 5. Какие колебания называются гармоническими?
Ответ. Гармонические колебания – это колебания, в которых изменение какой-либо физической величины происходит по закону синуса или косинуса.
Держите под рукой полезные формулы, которые пригодятся при решении задач. А перед тем как начать самостоятельно решать задачи, рекомендуем ознакомиться с универсальной памяткой.
Нужна помощь в решении задач и прочих студенческих заданий? Профессиональный студенческий сервис готов оказать ее в любое время, обращайтесь за консультациями к проверенным специалистам.