Законы сохранения – фундаментальные физические законы. Учитесь решать задачи на эту тему? Отлично! В этой статье мы разберем несколько примеров решений таких задач.
Наш телеграм – это полезная и интересная информация для студентов всех специальностей. Присоединяйтесь!
Задачи на тему «Законы сохранения в механике»
Задача №1. Закон сохранения энергии
Условие
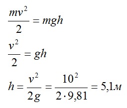
На какую высоту поднимется тело, подброшенное вертикально вверх, с начальной скоростью 10 м/с? При решении задачи не учитывается сопротивление воздуха.
Решение
По закону сохранения энергии, начальная кинетическая энергия брошенного тела будет равна его потенциальной энергии в наивысшей точке подъема.

Ответ: 5,1м
Задача №2. Закон сохранения импульса
Условие
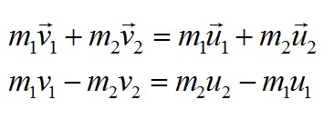
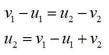
Определите скорости двух шаров массами m1 и m2 после центрального абсолютно упругого удара. Скорости шаров до удара v1 и v2 соответственно

Решение
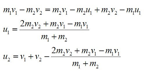
В задаче применяется закон сохранения импульса. Запишем его в векторном виде и в проекции на горизонтальную ось в соответствии с рисунком:

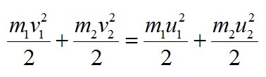
Теперь запишем закон сохранения энергии:

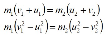
Преобразуем полученные выражения:

Воспользуемся формулами сокращенного умножения, разделим правые и левые части системы друг на друга и получим:

Подставим выраженное значение u2 в первое уравнение для закона сохранения импульса и получим:

Ответ: см. решение
Задача №3. Закон сохранения энергии
Условие
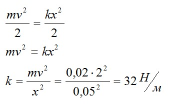
Спусковую пружину игрушечного пистолета сжали на 5 см, при вылете шарик массой 20 г приобрел скорость 2 м/с. Необходимо рассчитать, какова жесткость пружины
Решение
Потенциальная энергия деформированной пружины переходит в кинетическую энергию шарика

Ответ: 32 Н/м
Задача №4. Закон сохранения момента импульса
Условие
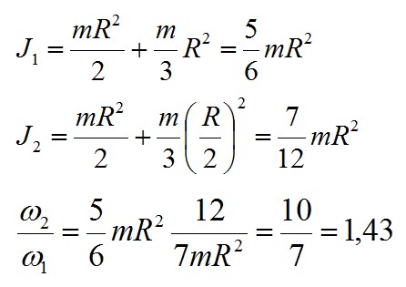
Платформа, имеющая форму сплошного однородного диска, может вращаться по инерции вокруг неподвижной вертикальной оси. На краю платформы стоит человек, масса которого в 3 раза меньше массы платформы. Определите, как и во сколько раз изменится угловая скорость вращения платформы, если человек перейдёт ближе к центру на расстояние, равное половине радиуса платформы.
Решение
Так как в системе человек–платформа сумма моментов сил тяжести и реакции опоры равна нулю, для решения задачи можно применить закон сохранения момента импульса

Запишем моменты инерции системы в начальном и конечном состояниях, затем подставим результат во второе выражение:

Ответ: угловая скорость увеличится в 1,43 раза.
Задача №5. Закон сохранения энергии
Условие
При растяжении пружины на 20 см она приобрела потенциальную энергию упругодеформированного тела 20 Дж. Какова жесткость пружины?
Решение
Потенциальная энергия пружины вычисляется по формуле

Ответ: 1000 Н/м
Кстати! Для наших читателей действует скидка 10% на любой вид работы
Вопросы на законы сохранения
Вопрос 1. Что такое механическая система тел?
Ответ. Механическая система – это совокупность материальных точек (тел), движения которых взаимосвязаны.
Вопрос 2. Какая механическая система называется замкнутой?
Ответ. Замкнутой называется механическая система, на которую не действуют внешние силы. Такая система не взаимодействует с внешними телами, не входящими в нее.
Вопрос 3. В каких механических системах выполняются законы сохранения импульса, энергии и момента импульса?
Ответ. Законы сохранения импульса, энергии и момента импульса выполняются в замкнутых механических системах.
Вопрос 4. Сформулируйте закон сохранения момента импульса
Ответ. Момент импульса замкнутой системы тел относительно любой неподвижной точки не изменяется с течением времени.
Вопрос 5. Каково философское значение законов сохранения?
Ответ. Законы сохранения показывают неуничтожимость и несотворимость движущейся материи со всеми её свойствами в процессах её перехода из одной формы в другую. Другими словами, движение материи вечно и лишь переходит из одной формы в другую.
Такая точка зрения характерна для диалектического материализма.
Законы сохранения в механике
В физике, точнее в механике, можно выделить три фундаментальных закона сохранения:
- Закон сохранения импульса.
- Закон сохранения энергии.
- Закон сохранения момента импульса.
Формулировка закона момента импульса дана выше, в разделе «Вопросы». Кстати, для понимания физической сути момента импульса рекомендуем сначала почитать о том, что такое момент инерции.
Нужна помощь в решении задач и выполнении любых других заданий? Обращайтесь в профессиональный студенческий сервис.